| About the CQD | | News | | Conferences | | Publications | | Books | | Research | | People | | History | | Patents | | Contact | Channel | |
Page 11 of 35: Prev << 1 2 3 4 5 6 7 8 9 10 11 12 13 14 15 16 17 18 19 20 21 22 23 24 25 26 27 28 29 30 31 32 33 34 35 >> Next (852 Items)
251.
(2)(3)(4)(5)(6)(7)(8)(9)(10)(11)(12)(13)(14)(15)(16)(17).png) | III-Nitride Optoelectronic Devices: From Ultraviolet Toward Terahertz M. Razeghi IEEE Photonics Journal-Breakthroughs in Photonics 2010, Vol. 3, No. 2, p. 263-267-- April 26, 2011 We review III-Nitride optoelectronic device technologies with an emphasis on recent breakthroughs. We start with a brief summary of historical accomplishments and then report the state-of-the-art in three key spectral regimes: (1) Ultraviolet (AlGaN-based avalanche photodiodes, single photon detectors, focal plane arrays, and light emitting diodes), (2) Visible (InGaN-based solid state lighting, lasers, and solar cells), and (3) Near-, mid-infrared, and terahertz (AlGaN/GaN-based gap-engineered intersubband devices). We also describe future trends in III-Nitride optoelectronic devices. reprint |
252.
(2)(3)(4)(5)(6)(7)(8)(9)(10)(11)(12)(13)(14)(15)(16)(17)(18)(19).png) | High operating temperature MWIR photon detectors based on Type II InAs/GaSb superlattice M. Razeghi, S. Abdollahi Pour, E.K. Huang, G. Chen, A. Haddadi and B.M. Nguyen SPIE Proceedings, Infrared Technology and Applications XXXVII, Orlando, FL, Vol. 8012, p. 80122Q-1-- April 26, 2011 Recent efforts have been paid to elevate the operating temperature of Type II superlattice Mid Infrared photon detectors. Using M-structure superlattice, novel device architectures have been developed, resulting in significant improvement of the device performances. In this paper, we will compare different photodetector architectures and discuss the optimization scheme which leads to almost one order of magnitude of improvement to the electrical performance. At 150K, single element detectors exhibit a quantum efficiency above 50%, and a specific detectivity of 1.05x10(12) cm.Hz(1/2)/W. BLIP operation with a 300K background and 2π FOV can be reached with an operating temperature up to 180K. High quality focal plane arrays were demonstrated with a noise equivalent temperature difference (NEDT) of 11mK up to 120K. Human body imaging is achieved at 150K with NEDT of 150mK. reprint |
253.
(2)(3)(4)(5)(6)(7)(8)(9)(10)(11)(12)(13)(14)(15)(16)(17)(18)(19)(20).png) | Recent advances in high performance antimonide-based superlattice FPAs E.K. Huang, B.M. Nguyen, S.R. Darvish, S. Abdollahi Pour, G. Chen, A. Haddadi, and M.A. Hoang SPIE Proceedings, Infrared technology and Applications XXXVII, Orlando, FL, Vol. 8012, p. 80120T-1-- April 25, 2011 Infrared detection technologies entering the third generation demand performances for higher detectivity, higher operating temperature, higher resolution and multi-color detection, all accomplished with better yield and lower manufacturing/operating costs. Type-II antimonide based superlattices (T2SL) are making firm steps toward the new era of focal plane array imaging as witnessed in the unique advantages and significant progress achieved in recent years. In this talk, we will present the four research themes towards third generation imagers based on T2SL at the Center for Quantum Devices. High performance LWIR megapixel focal plane arrays (FPAs) are demonstrated at 80K with an NEDT of 23.6 mK using f/2 optics, an integration time of 0.13 ms and a 300 K background. MWIR and LWIR FPAs on non-native GaAs substrates are demonstrated as a proof of concept for the cost reduction and mass production of this technology. In the MWIR regime, progress has been made to elevate the operating temperature of the device, in order to avoid the burden of liquid nitrogen cooling. We have demonstrated a quantum efficiency above 50%, and a specific detectivity of 1.05x1012 cm·Hz1/2/W at 150 K for 4.2 μm cut-off single element devices. Progress on LWIR/LWIR dual color FPAs as well as novel approaches for FPA fabrication will also be discussed. reprint |
254.
(2)(3)(4)(5)(6)(7)(8)(9)(10)(11)(12)(13)(14)(15)(16)(17)(18)(19)(20)(21).png) | High operating temperature midwave infrared photodiodes and focal plane arrays based on type-II InAs/GaSb superlattices S. Abdollahi Pour, E.K. Huang, G. Chen, A. Haddadi, B.M. Nguyen and M. Razeghi Applied Physics Letters, Vol. 98, No. 14, p. 143501-1-- April 4, 2011 The dominant dark current mechanisms are identified and suppressed to improve the performance of midwave infrared InAs/GaSb Type-II superlattice photodiodes at high temperatures. The optimized heterojunction photodiode exhibits a quantum efficiency of 50% for 2 μm thick active region without any bias dependence. At 150 K, R0A of 5100 Ω·cm² and specific detectivity of 1.05×1012 cm·Hz0.5·W-1 are demonstrated for a 50% cutoff wavelength of 4.2 μm. Assuming 300 K background temperature and 2π field of view, the performance of the detector is background limited up to 180 K, which is improved by 25 °C compared to the homojunction photodiode. Infrared imaging using f/2.3 optics and an integration time of 10.02 ms demonstrates a noise equivalent temperature difference of 11 mK at operating temperatures below 120 K. reprint |
255.
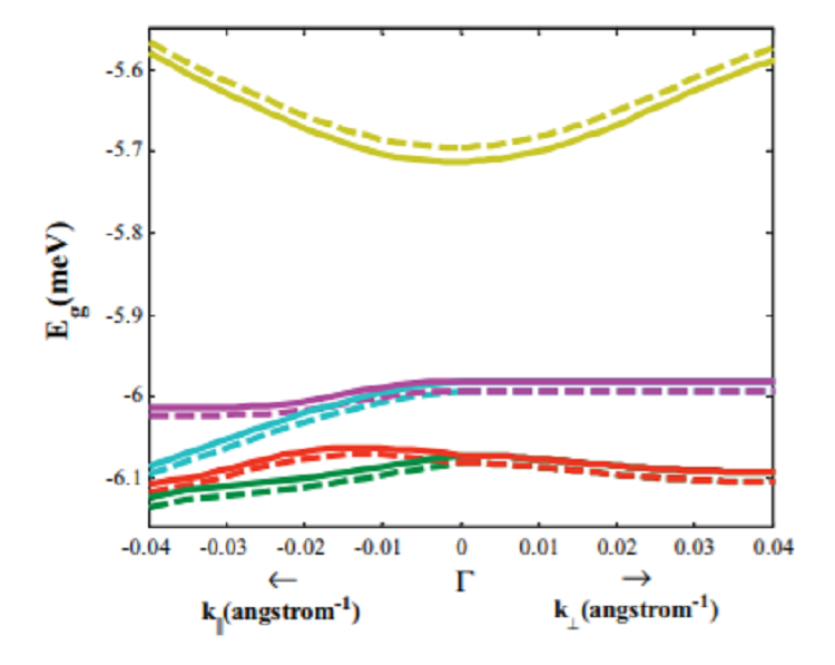
(2)(3)(4)(5)(6)(7)(8)(9)(10)(11)(12)(13)(14)(15)(16)(17)(18)(19)(20)(21)(22).png) | Tight-binding theory for the thermal evolution of optical band gaps in semiconductors and superlattices S. Abdollahi Pour, B. Movaghar, and M. Razeghi American Physical Review, Vol. 83, No. 11, p. 115331-1-- March 15, 2011 A method to handle the variation of the band gap with temperature in direct band-gap III–V semiconductors and superlattices using an empirical tight-binding method has been developed. The approach follows closely established procedures and allows parameter variations which give rise to perfect fits to the experimental data. We also apply the tight-binding method to the far more complex problem of band structures in Type-II infrared superlattices for which we have access to original experimental data recently acquired by our group. Given the close packing of bands in small band-gap Type-II designs, k·p methods become difficult to handle, and it turns out that the sp3s* tight-binding scheme is a practical and powerful asset. Other approaches to band-gap shrinkage explored in the past are discussed, scrutinized, and compared. This includes the lattice expansion term, the phonon softening mechanism, and the electron-phonon polaronic shifts calculated in perturbation theory. reprint |
256.
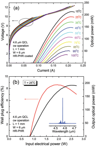
(2)(3)(4)(5)(6)(7)(8)(9)(10)(11)(12)(13)(14)(15)(16)(17)(18)(19)(20)(21)(22)(23).png) | Optimizing facet coating of quantum cascade lasers for low power consumption Y. Bai, S.R. Darvish, N. Bandyopadhyay, S. Slivken and M. Razeghi Journal of Applied Physics, Vol. 109, No. 5, p. 053103-1-- March 1, 2011 Typical high power consumption (∼10 W) of mid-infrared quantum cascade lasers (QCLs) has been a serious limitation for applications in battery powered systems. A partial high-reflection (PHR) coating technique is introduced for power downscaling with shorter cavity lengths. The PHR coating consists of a double layer dielectric of SiO2 and Ge. With this technique, a 4.6 μm QCL with an ultra low threshold power consumption of less than a watt (0.83 W) is demonstrated in room temperature continuous wave operation. At 25°C, the maximum output power and wall plug efficiency are 192 mW and 8.6%, respectively. reprint |
257.
(2)(3)(4)(5)(6)(7)(8)(9)(10)(11)(12)(13)(14)(15)(16)(17)(18)(19)(20)(21)(22)(23)(24).png) | Amorphous ZnO films grown by room temperature pulsed laser deposition on paper and mylar for transparent electronics applications D.J. Rogers, V.E. Sandana, F. Hosseini Teherani, R. McClintock, M. Razeghi, and H.J. Drouhin SPIE Proceedings, San Francisco, CA (January 22-27, 2011), Vol. 7940, p. 79401K-- January 24, 2011 Recently, there has been a surge of activity in the development of next-generation
transparent thin film transistors for use in applications such as electronic paper and
flexible organic light emitting diode panels. Amongst the transparent conducting oxides
attracting the most interest at present are Amorphous Oxide Semiconductors (AOS)
based on ZnO because they exhibit enhanced electron mobility (μ), superior capacity for
processability in air and improved thermodynamic stability compared with conventional
covalent amorphous semiconductors and existing AOS. Moreover, they give excellent
performance when fabricated at relatively low temperature and can readily be made in
large area format. Thus, they are projected to resolve the trade-off between processing
temperature and device performance and thereby allow fabrication on inexpensive heatsensitive
substrates. For the moment, however, an undesireable post-deposition
annealing step at a temperature of about 200ºC is necessary in order to obtain suitable
electrical and optical properties. This paper demonstrates the possibility of directly
engineering amorphous ZnO with relatively high conductiviy at room temperature on
paper and mylar substrates using pulsed laser deposition. reprint |
258.
(2)(3)(4)(5)(6)(7)(8)(9)(10)(11)(12)(13)(14)(15)(16)(17)(18)(19)(20)(21)(22)(23)(24)(25).png) | Effects of substrate quality and orientation on the characteristics of III-nitride resonant tunneling diodes Z. Vashaei, C. Bayram, R. McClintock and M. Razeghi SPIE Proceedings, San Francisco, CA (January 22-27, 2011), Vol 7945, p. 79451A-- January 23, 2011 Al(Ga)N/GaN resonant tunneling diodes (RTDs) are grown by metal-organic chemical vapor deposition. The effects of material quality on room temperature negative differential resistance (NDR) behaviour of RTDs are investigated by growing the RTD structure on AlN, GaN, and lateral epitaxial overgrowth GaN templates. This reveals that NDR characteristics of RTDs are very sensitive to material quality (such as surface roughness and dislocations density). The effects of the aluminum content of AlGaN double barriers (DB) and polarization fields on NDR characteristic of AlGaN/GaN RTDs were also investigated by employing low dislocation density c-plane (polar) and m-plane (nonpolar) freestanding GaN substrates. Lower aluminum content in the DB RTD active layer and minimization of dislocations and polarization fields enabled a more reliable and reproducible NDR behaviour at room temperature. reprint |
259.
(2)(3)(4)(5)(6)(7)(8)(9)(10)(11)(12)(13)(14)(15)(16)(17)(18)(19)(20)(21)(22)(23)(24)(25)(26).png) | High power 1D and 2D photonic crystal distributed feedback quantum cascade lasers B. Gokden, Y. Bai, S. Tsao, N. Bandyopadhyay, S. Slivken and M. Razeghi SPIE Proceedings, San Francisco, CA (January 22-27, 2011), Vol. 7945, p. 79450C-- January 23, 2011 For many practical applications that need bright sources of mid-infrared radiation, single mode operation and good beam quality are also required. Quantum cascade lasers are prominent candidates as compact sources of mid-infrared radiation capable of delivering very high power both CW and under pulsed operation. While 1D photonic crystal distributed feedback structures can be used to get single mode operation from quantum cascade lasers with narrow ridge widths, novel 2D photonic crystal cavity designs can be used to improve spectral and spatial purity of broad area quantum cascade lasers. In this paper, we demonstrate high power, spatially and spectrally pure operation at room temperature from narrow ridge and broad area quantum cascade lasers with buried 1D and 2D photonic crystal structures. Single mode continuous wave emission at λ = 4.8 μm up to 700 mW in epi-up configuration at room temperature was observed from a 11 μm wide 5 mm long distributed feedback quantum cascade laser with buried 1D gratings. High peak powers up to 34 W was obtained from a 3mm long 400 μm wide 2D photonic crystal distributed feedback laser at room temperature under pulsed operation. The far field profile had a single peak normal to the laser facet and the M2 figure of merit was as low as 2.5. Emission spectrum had a dominating single mode at λ = 4.36 μm. reprint |
260.
(2)(3)(4)(5)(6)(7)(8)(9)(10)(11)(12)(13)(14)(15)(16)(17)(18)(19)(20)(21)(22)(23)(24)(25)(26)(27).png) | Growth and characterization of long wavelength infrared Type-II superlattice Photodiodes on a 3 B.M. Nguyen, G. Chen, M.A. Hoang, and M. Razeghi SPIE Proceedings, San Francisco, CA (January 22-27, 2011), Vol. 7945, p. 79451O-- January 23, 2011 One of the great advantages of Type-II InAs/GaSb superlattice over other competing technologies for the third generation infrared imagers is the potential to have excellent uniformity across a large area as the electronic structure of the material is controlled by the layer thicknesses, not by the composition of the materials. This can economize the material growth, reduce the fabrication cost, and especially allow the realization of large format imagers. In this talk, we report the molecular beam epitaxial growth of Type-II superlattices on a 3-inch GaSb substrate for long wavelength infrared detection. The material exhibits excellent structural, optical and electrical uniformity via AFM, Xray, quantum efficiency and I-V measurements. At 77K, 11μm cutoff photodiodes exhibit more than 45% quantum efficiency, and a dark current density of 1.0x10-4 A/cm² at 50 mV, resulting in a specific detectivity of 6 x 1011 cm·Hz1/2/W. reprint |
261.
(2)(3)(4)(5)(6)(7)(8)(9)(10)(11)(12)(13)(14)(15)(16)(17)(18)(19)(20)(21)(22)(23)(24)(25)(26)(27)(28).png) | Advances in UV sensitive visible blind GaN-based APDs M. Ulmer, R. McClintock and M. Razeghi SPIE Proceedings, San Francisco, CA (January 22-27, 2011), Vol. 7945, p. 79451G-- January 23, 2011 In this paper, we describe our current state-of-the-art process of making visible-blind APDs based on GaN. We have grown our material on both conventional sapphire and low dislocation density free-standing c- and m-plane GaN substrates. Leakage current, gain, and single photon detection efficiency (SPDE) of these APDs are compared. The spectral response and Geiger-mode photon counting performance of UV APDs are studied under low photon fluxes. Single photon detection capabilities with over 30% are demonstrated. We show how with pulse height discrimination the Geiger-mode operation conditions can be optimized for enhanced SPDE versus dark counts. reprint |
262.
(2)(3)(4)(5)(6)(7)(8)(9)(10)(11)(12)(13)(14)(15)(16)(17)(18)(19)(20)(21)(22)(23)(24)(25)(26)(27)(28)(29).png) | III-Nitride Optoelectronic Devices: From ultraviolet detectors and visible emitters towards terahertz intersubband devices M. Razeghi, C. Bayram, Z. Vashaei, E. Cicek and R. McClintock IEEE Photonics Society 23rd Annual Meeting, November 7-10, 2010, Denver, CO, Proceedings, p. 351-352-- January 20, 2011 III-nitride optoelectronic devices are discussed. Ultraviolet detectors and visible emitters towards terahertz intersubband devices are reported. Demonstration of single photon detection efficiencies of 33% in the ultraviolet regime, intersubband energy level as low as in the mid-infrared regime, and GaN-based resonant tunneling diodes with negative resistance of 67 Ω are demonstrated. reprint |
263.
(2)(3)(4)(5)(6)(7)(8)(9)(10)(11)(12)(13)(14)(15)(16)(17)(18)(19)(20)(21)(22)(23)(24)(25)(26)(27)(28)(29)(30).png) | Highly temperature insensitive quantum cascade lasers Y. Bai, N. Bandyopadhyay, S. Tsao, E. Selcuk, S. Slivken and M. Razeghi Applied Physics Letters, Vol. 97, No. 25-- December 20, 2010 An InP based quantum cascade laser (QCL) heterostructure emitting around 5 μm is grown with gas-source molecular beam epitaxy. The QCL core design takes a shallow-well approach to maximize the characteristic temperatures, T(0) and T(1), for operations above room temperature. A T(0) value of 383 K and a T(1) value of 645 K are obtained within a temperature range of 298–373 K. In room temperature continuous wave operation, this design gives a single facet output power of 3 W and a wall plug efficiency of 16% from a device with a cavity length of 5 mm and a ridge width of 8 μm. reprint |
264.
(2)(3)(4)(5)(6)(7)(8)(9)(10)(11)(12)(13)(14)(15)(16)(17)(18)(19)(20)(21)(22)(23)(24)(25)(26)(27)(28)(29)(30)(31).png) | Room-temperature continuous wave operation of distributed feedback quantum cascade lasers with watt-level power output Q.Y. Lu, Y. Bai, N. Bandyopadhyay, Sl Slivken, and M. Razeghi Applied Physics Letters, Vol. 97, No. 23, p. 231119-1-- December 6, 2010 We demonstrate surface-grating distributed feedback quantum cascade lasers (QCLs) with a watt-level power output at 4.75 μm. A device with a 5 mm cavity length exhibits an output power of 1.1 W in room-temperature cw operation. Single-mode operation with a side mode suppression ratio of 30 dB is obtained in the working temperature of 15–105 °C. A double-lobed far field with negligible beam steering is observed. The significance of this demonstration lies in its simplicity and readiness to be applied to standard QCL wafers with the promise of high-power performances. reprint |
265.
(2)(3)(4)(5)(6)(7)(8)(9)(10)(11)(12)(13)(14)(15)(16)(17)(18)(19)(20)(21)(22)(23)(24)(25)(26)(27)(28)(29)(30)(31)(32).png) | Photovoltaic MWIR type-II superlattice focal plane array on GaAs substrate E.K. Huang, P.Y. Delaunay, B.M. Nguyen, S. Abdoullahi-Pour, and M. Razeghi IEEE Journal of Quantum Electronics (JQE), Vol. 46, No. 12, p. 1704-1708-- December 1, 2010 Recent improvements in the performance of Type-II superlattice (T2SL) photodetectors has spurred interest in developing low cost and large format focal plane arrays (FPA) on this material system. Due to the limitations of size and cost of native GaSb substrates, GaAs is an attractive alternative with 8” wafers commercially available, but is 7.8% lattice mismatched to T2SL. In this paper, we present a photovoltaic T2SL 320 x 256 focal plane array (FPA) in the MWIR on GaAs substrate. The FPA attained a median noise equivalent temperature difference (NEDT) of 13 mK and 10mK (F#=2.3) with integration times of 10.02 ms and 19.06 ms respectively at 67 K. reprint |
266.
(2)(3)(4)(5)(6)(7)(8)(9)(10)(11)(12)(13)(14)(15)(16)(17)(18)(19)(20)(21)(22)(23)(24)(25)(26)(27)(28)(29)(30)(31)(32)(33).png) | Injector doping level dependent continuous-wave operation of InP-based QCLs at λ~ 7.3 µm above room temperature J.S. Yu, S. Slivken, and M. Razeghi Semiconductor Science and Technology (SST), Vol. 25, No. 12, p. 125015-- December 1, 2010 We report the continuous-wave (CW) operation of InGaAs/InAlAs quantum cascade lasers (QCLs) operating at λ ~ 7.3 µm above room temperature. The injector doping level–dependent CW characteristics above room temperature are investigated for doping densities between 7 × 1016 cm−3 and 2 × 1017 cm−3. The device performance, i.e. threshold current density, output power, operating temperature and characteristic temperature, depends strongly on the injector doping density. For a relatively low injector doping density of 7 × 1016 cm−3, a high-reflectivity-coated 10 µm wide and 4 mm long laser exhibits an improved device performance with an output power of 152 mW and a threshold current density of 1.37 kA cm−2 at 298 K under CW mode, operating up to 343 K. The thermal characteristics are also analyzed by the estimation from the experimentally measured data for the QCLs with different injector doping densities. reprint |
267.
(2)(3)(4)(5)(6)(7)(8)(9)(10)(11)(12)(13)(14)(15)(16)(17)(18)(19)(20)(21)(22)(23)(24)(25)(26)(27)(28)(29)(30)(31)(32)(33)(34).png) | High-performance InP-based midinfrared quantum cascade lasers at Northwestern University M. Razeghi, Y. Bai, S. Slivken, and S.R. Darvish SPIE Optical Engineering, Vol. 49, No. 11, November 2010, p. 111103-1-- November 15, 2010 We present recent performance highlights of midinfrared quantum cascade lasers (QCLs) based on an InP material system. At a representative wavelength around 4.7 µm, a number of breakthroughs have been achieved with concentrated effort. These breakthroughs include watt-level continuous wave operation at room temperature, greater than 50% peak wall plug efficiency at low temperatures, 100-W-level pulsed mode operation at room temperature, and 10-W-level pulsed mode operation of photonic crystal distributed feedback quantum cascade lasers at room temperature. Since the QCL technology is wavelength adaptive in nature, these demonstrations promise significant room for improvement across a wide range of mid-IR wavelengths. reprint |
268.
(2)(3)(4)(5)(6)(7)(8)(9)(10)(11)(12)(13)(14)(15)(16)(17)(18)(19)(20)(21)(22)(23)(24)(25)(26)(27)(28)(29)(30)(31)(32)(33)(34)(35).png) | High performance long wavelength infrared mega-pixel focal plane array based on type-II superlattices P. Manurkar, S.R. Darvish, B.M. Nguyen, M. Razeghi and J. Hubbs Applied Physics Letters, Vol. 97, No 19, p. 193505-1-- November 8, 2010 A large format 1k × 1k focal plane array (FPA) is realized using type-II superlattice photodiodes for long wavelength infrared detection. Material growth on a 3 in. GaSb substrate exhibits a 50% cutoff wavelength of 11 μm across the entire wafer. The FPA shows excellent imaging. Noise equivalent temperature differences of 23.6 mK at 81 K and 22.5 mK at 68 K are achieved with an integration time of 0.13 ms, a 300 K background and f/4 optics. We report a dark current density of 3.3×10−4 A·cm−2 and differential resistance-area product at zero bias R0A of 166 Ω·cm² at 81 K, and 5.1×10−5 A·cm−2 and 1286 Ω·cm², respectively, at 68 K. The quantum efficiency obtained is 78%. reprint |
269.
(2)(3)(4)(5)(6)(7)(8)(9)(10)(11)(12)(13)(14)(15)(16)(17)(18)(19)(20)(21)(22)(23)(24)(25)(26)(27)(28)(29)(30)(31)(32)(33)(34)(35)(36).png) | Reliability in room-temperature negative differential resistance characteristics of low-aluminum contact AlGaN/GaN double-barrier resonant tunneling diodes C. Bayram, Z. Vashaei, and M. Razeghi Applied Physics Letters, Vol. 97, No. 18, p. 181109-1-- November 1, 2010 AlGaN/GaN resonant tunneling diodes (RTDs), consisting of 20% (10%) aluminum-content in double-barrier (DB) active layer, were grown by metal-organic chemical vapor deposition on freestanding polar (c-plane) and nonpolar (m-plane) GaN substrates. RTDs were fabricated into 35-μm-diameter devices for electrical characterization. Lower aluminum content in the DB active layer and minimization of dislocations and polarization fields increased the reliability and reproducibility of room-temperature negative differential resistance (NDR). Polar RTDs showed decaying NDR behavior, whereas nonpolar ones did not significantly. Averaging over 50 measurements, nonpolar RTDs demonstrated a NDR of 67 Ω, a current-peak-to-valley ratio of 1.08, and an average oscillator output power of 0.52 mW. reprint |
270.
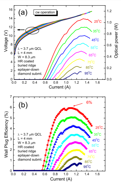
(2)(3)(4)(5)(6)(7)(8)(9)(10)(11)(12)(13)(14)(15)(16)(17)(18)(19)(20)(21)(22)(23)(24)(25)(26)(27)(28)(29)(30)(31)(32)(33)(34)(35)(36)(37).png) | Watt level performance of quantum cascade lasers in room temperature continuous wave operation at λ ∼ 3.76 μm N. Bandyopadhyay, Y. Bai, B. Gokden, A. Myzaferi, S. Tsao, S. Slivken and M. Razeghi Applied Physics Letters, Vol. 97, No. 13-- September 27, 2010 An InP-based quantum cascade laser heterostructure emitting at 3.76 μm is grown with gas-source molecular beam epitaxy. The laser core is composed of strain balanced In0.76Ga0.24As/In0.26Al0.74As. Pulsed testing at room temperature exhibits a low threshold current density (1.5 kA/cm²) and high wall plug efficiency (10%). Room temperature continuous wave operation gives 6% wall plug efficiency with a maximum output power of 1.1 W. Continuous wave operation persists up to 95 °C. reprint |
271.
(2)(3)(4)(5)(6)(7)(8)(9)(10)(11)(12)(13)(14)(15)(16)(17)(18)(19)(20)(21)(22)(23)(24)(25)(26)(27)(28)(29)(30)(31)(32)(33)(34)(35)(36)(37)(38).png) | Broad area photonic crystal distributed feedback quantum cascade lasers emitting 34 W at λ ~ 4.36 μm B. Gokden, Y. Bai, N. Bandyopadhyay, S. Slivken and M. Razeghi Applied Physics Letters, Vol. 97, No. 13, p. 131112-1-- September 27, 2010 We demonstrate room temperature, high power, single mode, and diffraction limited operation of a two dimensional photonic crystal distributed feedback quantum cascade laser emitting at 4.36 μm. Total peak power up to 34 W is observed from a 3 mm long laser with 400 μm cavity width at room temperature. Far-field profiles have M2 figure of merit as low as 2.5. This device represents a significant step toward realization of spatially and spectrally pure broad area high power quantum cascade lasers. reprint |
272.
(2)(3)(4)(5)(6)(7)(8)(9)(10)(11)(12)(13)(14)(15)(16)(17)(18)(19)(20)(21)(22)(23)(24)(25)(26)(27)(28)(29)(30)(31)(32)(33)(34)(35)(36)(37)(38)(39).png) | Photoluminescence characteristics of polar and nonpolar AlGaN/GaN superlattices Z. Vashaei, C. Bayram, P. Lavenus, and M. Razeghi Applied Physics Letters, Vol. 97, No. 12, p. 121918-1-- September 20, 2010 High quality Al0.2Ga0.8N/GaN superlattices (SLs) with various (GaN) well widths (1.6 to 6.4 nm) have been grown on polar c-plane and nonpolar m-plane freestanding GaN substrates by metal-organic chemical vapor deposition. Atomic force microscopy, high resolution x-ray diffraction, and photoluminescence (PL) studies of SLs have been carried out to determine and correlate effects of well width and polarization field on the room-temperature PL characteristics. A theoretical model was applied to explain PL energy-dependency on well width and crystalline orientation taking into account internal electric field for polar substrate. Absence of induced-internal electric field in nonpolar SLs was confirmed by stable PL peak energy and stronger PL intensity as a function of excitation power density than polar ones. reprint |
273.
(2)(3)(4)(5)(6)(7)(8)(9)(10)(11)(12)(13)(14)(15)(16)(17)(18)(19)(20)(21)(22)(23)(24)(25)(26)(27)(28)(29)(30)(31)(32)(33)(34)(35)(36)(37)(38)(39)(40).png) | Room temperature neagtive differential resistance characteristics of polar III-nitride resonant tunneling diodes C. Bayram, Z. Vashaei, and M. Razeghi Applied Physics Letters, Vol. 97, No. 9, p. 092104-1-- August 30, 2010 III-nitride resonant tunneling diodes (RTDs), consisting Al0.2Ga0.8N/GaN double-barrier (DB) active layers, were grown on c-plane lateral epitaxial overgrowth (LEO) GaN/sapphire and c-plane freestanding (FS) GaN. RTDs on both templates, fabricated into mesa diameters ranging from 5 to 35 μm, showed negative differential resistance (NDR) at room temperature. NDR characteristics (voltage and current density at NDR onset and current-peak-to-valley ratio) were analyzed and reported as a function of device size and substrate choice. Our results show that LEO RTDs perform as well as FS ones and DB active layer design and quality have been the bottlenecks in III-nitride RTDs. reprint |
274.
(2)(3)(4)(5)(6)(7)(8)(9)(10)(11)(12)(13)(14)(15)(16)(17)(18)(19)(20)(21)(22)(23)(24)(25)(26)(27)(28)(29)(30)(31)(32)(33)(34)(35)(36)(37)(38)(39)(40)(41).png) | Comparison of ultraviolet APDs grown on free-standing GaN and sapphire substrates E. Cicek, Z. Vashaei, C. Bayram, R. McClintock, M. Razeghi and M. Ulmer Proceedings, Vol. 7780, p. 77801P, SPIE Optics and Photonics Symposium, Conference on Detectors and Imaging Devices: Infrared, Focal Plane and Single Photon, San Diego, CA -- August 4, 2010 There is a need for semiconductor-based ultraviolet photodetectors to support avalanche gain in order to realize better performance andmore effective compete with existing technologies. Wide bandgap III-Nitride semiconductors are the promising material system for the development of avalanche photodiodes (APDs) that could be a viable alternative to current bulky UV detectors such as photomultiplier tubes. In this paper, we review the current state-of-the-art in IIINitride visible-blind APDs, and present our latest results on GaN APDs grown on both conventional sapphire and low dislocation density free-standing c- and m-plane GaN substrates. Leakage current, gain, and single photon detection efficiency (SPDE) of these APDs were compared. The spectral response and Geiger-mode photon counting performance of UV APDs are studied under low photon fluxes, with single photon detection capabilities as much as 30% being demonstrated in smaller devices. Geiger-mode operation conditions are optimized for enhanced SPDE. reprint |
275.
(2)(3)(4)(5)(6)(7)(8)(9)(10)(11)(12)(13)(14)(15)(16)(17)(18)(19)(20)(21)(22)(23)(24)(25)(26)(27)(28)(29)(30)(31)(32)(33)(34)(35)(36)(37)(38)(39)(40)(41)(42).png) | III-nitride based avalanche photo detectors R. McClintock, E. Cicek, Z. Vashaei, C. Bayram, M. Razeghi and M. Ulmer Proceedings, Vol. 7780, p. 77801B, SPIE Optics and Photonics Symposium, Conference on Detectors and Imaging Devices: Infrared, Focal Plane and Single Photon, San Diego, CA -- August 4, 2010 Research into III-Nitride based avalanche photodiodes (APDs) is motivated by the need for high sensitivity ultraviolet (UV) detectors in numerous civilian and military applications. By designing III-Nitride photodetectors that utilize low-noise impact ionization high internal gain can be realized-GaN APDs operating in Geiger mode can achieve gains exceeding 1×107. Thus with careful design, it becomes possible to count photons at the single photon level. In this paper we review the current state of the art in III-Nitride visible-blind APDs and discuss the critical design choices necessary to achieve high performance Geiger mode devices. Other major technical issues associated with the realization of visible-blind Geiger mode APDs are also discussed in detail and future prospects for improving upon the performance of these devices are outlined. The photon detection efficiency, dark count rate, and spectral response of or most recent Geiger-mode GaN APDs on free-standing GaN substrates are studied under low photon fluxes, with single photon detection capabilities being demonstrated. We also present our latest results regarding linear mode gain uniformity: the study of gain uniformity helps reveal the spatial origins of gain so that we can better understand the role of defects. reprint |
Page 11 of 35: Prev << 1 2 3 4 5 6 7 8 9 10 11 12 13 14 15 16 17 18 19 20 21 22 23 24 25 26 27 28 29 30 31 32 33 34 35 >> Next (852 Items)
|