| About the CQD | | News | | Conferences | | Publications | | Books | | Research | | People | | History | | Patents | | Contact | Channel | |
Page 10 of 35: Prev << 1 2 3 4 5 6 7 8 9 10 11 12 13 14 15 16 17 18 19 20 21 22 23 24 25 26 27 28 29 30 31 32 33 34 35 >> Next (852 Items)
226.
(2)(3)(4)(5)(6)(7)(8)(9)(10)(11)(12)(13)(14)(15)(16)(17)(18)(19)(20)(21)(22)(23)(24)(25)(26)(27)(28)(29)(30)(31)(32)(33)(34)(35)(36)(37)(38)(39)(40)(41).png) | ZnO nanorod electrodes for hydrogen evolution and storage Harinipriya, S.; Usmani, B.; Rogers, D. J.; Sandana, V. E.; Teherani, F. Hosseini; Lusson, A.; Bove, P.; Drouhin, H.-J.; Razeghi, M. Proc. SPIE 8263, Oxide-based Materials and Devices III, 82631Y (February 9, 2012)-- February 9, 2012 Due to the attractive combination of a relatively high specific heat of combustion with a large specific energy capacity, molecular hydrogen (H2) is being investigated for use as an alternative to fossil fuels. Energy-efficient H2 production and safe storage remain key technical obstacles to implementation of an H2 based economy, however. ZnO has been investigated for use as an alternative photocatalytic electrode to TiO2 for solarpowered photo-electro-chemical (PEC) electrolysis, in which H2 is generated by direct water splitting in a cell with a metal cathode and a semiconducting anode. In this investigation, ZnO NR grown on Si (100) substrates by pulsed laser deposition were investigated for use as electrodes in the Hydrogen Evolution Reaction (HER). The electrochemical potential and Fermi energy of the ZnO NR were estimated from the electrochemical current density in acid and alkaline solutions via phenomenological thermodynamic analysis. As well as acting as an effective electrocalytic cathode, the ZnO NR appear to operate as a hydrogen reservoir. These results indicate that the ZnO NR have excellent potential for the storage of evolved H2. reprint |
227.
(2)(3)(4)(5)(6)(7)(8)(9)(10)(11)(12)(13)(14)(15)(16)(17)(18)(19)(20)(21)(22)(23)(24)(25)(26)(27)(28)(29)(30)(31)(32)(33)(34)(35)(36)(37)(38)(39)(40)(41)(42).png) | Substrate emission quantum cascade ring lasers with room temperature continuous wave operation Y. Bai, S. Tsao, N. Bandyopadhyay, S. Slivken, Q.Y. Lu, and M. Razeghi SPIE Proceedings, Vol. 8268, p. 82680N-- January 22, 2012 We demonstrate room temperature, continuous wave operation of quantum cascade ring lasers around 5 μm with single mode operation up to 0.51 W output power. Single mode operation persists up to 0.4 W. Light is coupled out of the ring cavity through the substrate with a second order distributed feedback grating. The substrate emission scheme allows for
epilayer-down bonding, which leads to room temperature continuous wave operation. The far field analysis indicates that the device operates in a high order mode. reprint |
228.
(2)(3)(4)(5)(6)(7)(8)(9)(10)(11)(12)(13)(14)(15)(16)(17)(18)(19)(20)(21)(22)(23)(24)(25)(26)(27)(28)(29)(30)(31)(32)(33)(34)(35)(36)(37)(38)(39)(40)(41)(42)(43)(44)(45).png) | Low frequency noise in 1024 x 1024 long wavelength infrared focal plane array base on Type-II InAs/GaSb superlattice A. Haddadi, S.R. Darvish, G. Chen, A.M. Hoang, B.M. Nguyen and M. Razeghi SPIE Proceedings, Vol. 8268, p. 82680X-- January 22, 2012 Recently, the type-II InAs/GaSb superlattice (T2SL) material platform is considered as a potential alternative for HgCdTe technology in long wavelength infrared (LWIR) imaging. This is due to the incredible growth in the understanding of its material properties and improvement of device processing which leads to design and fabrication of
better devices. In this paper, we report electrical low frequency noise measurement on a high performance type-II InAs/GaSb superlattice 1024×1024 LWIR focal plane array. reprint |
229.
(2)(3)(4)(5)(6)(7)(8)(9)(10)(11)(12)(13)(14)(15)(16)(17)(18)(19)(20)(21)(22)(23)(24)(25)(26)(27)(28)(29)(30)(31)(32)(33)(34)(35)(36)(37)(38)(39)(40)(41)(42)(43).png) | World's first demonstration of type-II superlattice dual band 640 x 512 LWIR focal plane array E.K. Huang and M. Razeghi SPIE Proceedings, Vol. 8268, p. 82680Z-- January 22, 2012 High resolution multi-band infrared detection of terrestrial objects is useful in applications such as long range and high altitude surveillance. In this paper, we present a 640 x 512 type-II superlattice focal plane array (FPA) in the long-wave infrared (LWIR) suitable for such purposes, featuring 100% cutoff wavelengths at 9.5 μm (blue channel) and 13 μm (red). The dual band camera is single-bump hybridized to an Indigo 30 μm pitch ISC0905 read-out integrated circuit. Test pixels revealed background limited behavior with specific detectivities as high as ~5x1011 Jones at 7.9 μm (blue) and ~1x1011 Jones at 10.2 μm (red) at 77K. reprint |
230.
(2)(3)(4)(5)(6)(7)(8)(9)(10)(11)(12)(13)(14)(15)(16)(17)(18)(19)(20)(21)(22)(23)(24)(25)(26)(27)(28)(29)(30)(31)(32)(33)(34)(35)(36)(37)(38)(39)(40)(41)(42)(43)(44).png) | Free-space optical communication using mid-infrared or solar-blind ultraviolet sources and detectors R. McClintock, A. Haddadi and M. Razeghi SPIE Proceedings, Vol. 8268, p. 826810-- January 22, 2012 Free-space optical communication is a promising solution to the “last mile” bottleneck of data networks. Conventional near infrared-based free-space optical communication systems suffer from atmospheric scattering losses and
scintillation effects which limit the performance of the data links. Using mid-infrared, we reduce the scattering and thus can improve the quality of the data links and increase their range. Because of the low scattering, the data link cannot be intercepted without a complete or partial loss in power detected by the receiver. This type of
communications provides ultra-high bandwidth and highly secure data transfer for both short and medium range data links. Quantum cascade lasers are one of the most promising sources for mid-wavelength infrared sources and Type-II
superlattice photodetectors are strong candidates for detection in this regime.
The same way that that low scattering makes mid-wavelength infrared ideal for secure free space communications,high scattering can be used for secure short-range free-space optical communications. In the solar-blind ultraviolet (<
280 nm) light is strongly scattered and absorbed. This scattering makes possible non-line-of-sight free-space optical communications. The scattering and absorption also prevent remote eavesdropping. III-Nitride based LEDs and photodetectors are ideal for non-line-of-sight free-space optical communication. reprint |
231.
(2)(3)(4)(5)(6)(7)(8)(9)(10)(11)(12)(13)(14)(15)(16)(17)(18)(19)(20)(21)(22)(23)(24)(25)(26)(27)(28)(29)(30)(31)(32)(33)(34)(35)(36)(37)(38)(39)(40)(41)(42)(43)(44)(45)(46)(47).png) | Reliable GaN-based resonant tunneling diodes with reproducible room-temperature negative differential resistance C. Bayram, D.K. Sadana, Z. Vashaei and M. Razeghi SPIE Proceedings, Vol. 8268, p. 826827-- January 22, 2012 negative differential resistance (NDR). Compared to other negative resistance devices such as (Esaki) tunnel and transferred-electron devices, RTDs operate much faster and at higher temperatures. III-nitride materials, composed of AlGaInN alloys, have wide bandgap, high carrier mobility and thermal stability; making them ideal for high power high frequency RTDs. Moreover, larger conduction band discontinuity promise higher NDR than other materials (such as GaAs) and room-temperature operation. However, earlier efforts on GaN-based RTD structures have failed to achieve a
reliable and reproducible NDR. Recently, we have demonstrated for the first time that minimizing dislocation density and eliminating the piezoelectric fields enable reliable and reproducible NDR in GaN-based RTDs even at room
temperature. Observation of NDR under both forward and reverse bias as well as at room and low temperatures attribute the NDR behaviour to quantum tunneling. This demonstration marks an important milestone in exploring III-nitride quantum devices, and will pave the way towards fundamental quantum transport studies as well as for high frequency
optoelectronic devices such as terahertz emitters based on oscillators and cascading structures. reprint |
232.
(2)(3)(4)(5)(6)(7)(8)(9)(10)(11)(12)(13)(14)(15)(16)(17)(18)(19)(20)(21)(22)(23)(24)(25)(26)(27)(28)(29)(30)(31)(32)(33)(34)(35)(36)(37)(38)(39)(40)(41)(42)(43)(44)(45)(46)(47)(48).png) | Suppression of surface leakage in gate controlled type-II InAs/GaSb mid-infrared photodetectors G. Chen; B.-M. Nguyen; A.M. Hoang; E.K. Huang; S.R. Darvish; M. Razeghi Proc. SPIE 8268, Quantum Sensing and Nanophotonic Devices IX, 826811 (January 20, 2012)-- January 20, 2012 One of the biggest challenges of improving the electrical performance in Type II InAs/GaSb superlattice photodetector is suppressing the surface leakage. Surface leakage screens important bulk dark current mechanisms, and brings difficulty and uncertainty to the material optimization and bulk intrinsic parameters extraction such as carrier lifetime and mobility. Most of surface treatments were attempted beyond the mid-infrared (MWIR) regime because compared to the bulk performance, surface leakage in MWIR was generally considered to be a minor factor. In this work, we show that below 150K, surface leakage still strongly affects the electrical performance of the very high bulk performance p-π-M-n MWIR photon detectors. With gating technique, we can effectively eliminate the surface leakage in a controllable manner. At 110K, the dark current density of a 4.7 μm cut-off gated photon diode is more than 2 orders of magnitude lower than the current density in SiO2 passivated ungated diode. With a quantum efficiency of 48%, the specific detecivity of gated diodes attains 2.5 x 1014 cm·Hz1/2/W, which is 3.6 times higher than that of ungated diodes. reprint |
233.
(2)(3)(4)(5)(6)(7)(8)(9)(10)(11)(12)(13)(14)(15)(16)(17)(18)(19)(20)(21)(22)(23)(24)(25)(26)(27)(28)(29)(30)(31)(32)(33)(34)(35)(36)(37)(38)(39)(40)(41)(42)(43)(44)(45)(46)(47)(48)(49).png) | High operability 1024 x 1024 long wavelength infrared focal plane array base on Type-II InAs/GaSb superlattice A. Haddadi, S.R. Darvish, G. Chen, A.M. Hoang, B.M. Nguyen and M. Razeghi AIP Conference Proceedings, Vol. 1416, p. 56-58_NGS15 Conf_Blacksburg, VA_Aug 1-5, 2011-- December 31, 2011 Fabrication and characterization of a high performance 1024×1024 long wavelength infrared type‐II superlattice focal plane array are described. The FPA performs imaging at a continous rate of 15.00 frames/sec. Each pixel has pitch of 18μm with a fill factor of 71.31%. It demonstrates excellent operability of 95.8% and 97.4% at 81 and 68K operation temperature. The external quantum efficiency is ∼81% without any antireflective coating. Using F∕2 optics and an integration time of 0.13ms, the FPA exhibits an NEDT as low as 27 and 19mK at operating temperatures of 81 and 68K respectively. reprint |
234.
(2)(3)(4)(5)(6)(7)(8)(9)(10)(11)(12)(13)(14)(15)(16)(17)(18)(19)(20)(21)(22)(23)(24)(25)(26)(27)(28)(29)(30)(31)(32)(33)(34)(35)(36)(37)(38)(39)(40)(41)(42)(43)(44)(45)(46)(47)(48)(49)(50)(51)(52)(53)(54)(55)(56)(57)(58)(59).png) | High power, continuous wave, quantum cascade ring laser Y. Bai, S. Tsao, N. Bandyopadhyay, S. Slivken, Q.Y. Lu, D. Caffey, M. Pushkarsky, T. Day and M. Razeghi Applied Physics Letters, Vol. 99, No. 26, p. 261104-1-- December 26, 2011 We demonstrate a quantum cascade ring laser with high power room temperature continuous wave operation. A second order distributed feedback grating buried inside the waveguide provides both in-plane feedback and vertical power outcoupling. Total output power reaches 0.51 W at an emission wavelength around 4.85 μm. Single mode operation persists up to 0.4 W. The far field analysis indicates that the device operates in a high order mode. The magnetic and electric components of the ring-shaped lasing beam are in radial and azimuthal directions, respectively. reprint |
235.
(2)(3)(4)(5)(6)(7)(8)(9)(10)(11)(12)(13)(14)(15)(16)(17)(18)(19)(20)(21)(22)(23)(24)(25)(26)(27)(28)(29)(30)(31)(32)(33)(34)(35)(36)(37)(38)(39)(40)(41)(42)(43)(44)(45)(46)(47)(48)(49)(50)(51).png) | Stable single mode terahertz semiconductor sources at room temperature M. Razeghi 2011 International Semiconductor Device Research Symposium, ISDRS [6135180] (2011).-- December 7, 2011 Terahertz (THz) range is an area of the electromagnetic spectra which has lots of applications but it suffers from the lack of simple working devices which can emit THz radiation, such as the high performance mid-infrared (mid-IR) quantum cascade lasers (QCLs) based on InP technology. The applications for the THz can be found in astronomy and space research, biology imaging, security, industrial inspection, etc. Unlike THz QCLs based on the fundamental oscillators, which are limited to cryogenic operations, semiconductor THz sources based on nonlinear effects of mid-IR QCLs do not suffer from operating temperature limitations, because mid-IR QCLs can operate well above room temperature. THz sources based on difference frequency generation (DFG) utilize nonlinear properties of asymmetric quantum structures, such as QCL structures. reprint |
236.
(2)(3)(4)(5)(6)(7)(8)(9)(10)(11)(12)(13)(14)(15)(16)(17)(18)(19)(20)(21)(22)(23)(24)(25)(26)(27)(28)(29)(30)(31)(32)(33)(34)(35)(36)(37)(38)(39)(40)(41)(42)(43)(44)(45)(46)(47)(48)(49)(50)(51)(52).png) | Recent advances of terahertz quantum cascade lasers Manijeh Razeghi Proc. SPIE 8119, Terahertz Emitters, Receivers, and Applications II, 81190D (September 07, 2011)-- November 7, 2011 In the past decade, tremendous development has been made in GaAs/AlGaAs based THz quantum cascade laser (QCLs), however, the maximum operating temperature is still limited below 200 K (without magnetic field). THz QCL based on difference frequency generation (DFG) represents a viable technology for room temperature operation. Recently, we have demonstrated room temperature THz emission (∼ 4 THz) up to 8.5 μW with a power conversion efficiency of 10 μW/W². A dual-period distributed feedback grating is used to filter the mid-infrared spectra in favor of an extremely narrow THz linewidth of 6.6 GHz. reprint |
237.
(2)(3)(4)(5)(6)(7)(8)(9)(10)(11)(12)(13)(14)(15)(16)(17)(18)(19)(20)(21)(22)(23)(24)(25)(26)(27)(28)(29)(30)(31)(32)(33)(34)(35)(36)(37)(38)(39)(40)(41)(42)(43)(44)(45)(46)(47)(48)(49)(50)(51)(52)(53).png) | Use of PLD-grown moth-eye ZnO nanostructures as templates for MOVPE growth of InGaN-based photovoltaics Dave Rogers, V. E. Sandana, F. Hosseini Teherani, S. Gautier, G. Orsal, T. Moudakir, M. Molinari, M. Troyon, M. Peres, M. J. Soares, A. J. Neves, T. Monteiro, D. McGrouther, J. N. Chapman, H. J. Drouhin, M. Razeghi, and A. Ougazzaden Renewable Energy and the Environment, OSA Technical Digest paper PWB3, Optical Society of America, (2011)-- November 2, 2011 At this time, no abstract is available. Scopus has content delivery agreements in place with each publisher and currently contains 30 million records with an abstract. An abstract may not be present due to incomplete data, as supplied by the publisher, or is still in the process of being indexed. reprint |
238.
(2)(3)(4)(5)(6)(7)(8)(9)(10)(11)(12)(13)(14)(15)(16)(17)(18)(19)(20)(21)(22)(23)(24)(25)(26)(27)(28)(29)(30)(31)(32)(33)(34)(35)(36)(37)(38)(39)(40)(41)(42)(43)(44)(45)(46)(47)(48)(49)(50)(51)(52)(53)(54).png) | Elimination of surface leakage in gate controlled Type-II InAs/GaSb mid-infrared photodetectors G. Chen, B.-M. Nguyen, A.M. Hoang, E.K. Huang, S.R. Darvish, and M. Razeghi Applied Physics Letters, Vol. 99, No. 18, p. 183503-1-- October 31, 2011 The electrical performance of mid-infrared type-II superlattice M-barrier photodetectors is shown to be limited by surface leakage. By applying gate bias on the mesa sidewall surface, leakage current is significantly reduced. Qualitatively IV modeling shows diffusion-dominated behavior of dark current at temperatures greater than 120 K. At 110 K, the dark current of gated device is reduced by more than 2 orders of magnitude, reaching the measurement system noise floor. With a quantum efficiency of 48% in front side illumination configuration, a 4.7μm cut-off gated device attains a specific detectivity of 2.5 × 1014 cm·Hz½·W-1 at 110 K, which is 3.6 times higher than in ungated devices. reprint |
239.
(2)(3)(4)(5)(6)(7)(8)(9)(10)(11)(12)(13)(14)(15)(16)(17)(18)(19)(20)(21)(22)(23)(24)(25)(26)(27)(28)(29)(30)(31)(32)(33)(34)(35)(36)(37)(38)(39)(40)(41)(42)(43)(44)(45)(46)(47)(48)(49)(50)(51)(52)(53)(54)(55).png) | Room temperature single-mode terahertz sources based on intracavity difference-frequency generation in quantum cascade lasers Q.Y. Lu, N. Bandyopadhyay, S. Slivken, Y. Bai and M. Razeghi Applied Physics Letters, Vol. 99, Issue 13, p. 131106-1-- September 26, 2011 We demonstrate room temperature single-mode THz emission at 4 THz based on intracavity difference-frequency generation from mid-infrared dual-wavelength quantum cascade lasers. An integrated dual-period distributed feedback grating is defined on the cap layer to purify both mid-infrared pumping wavelengths and in turn the THz spectra. Single mode operation of the pumping wavelengths results in a single-mode THz operation with a narrow linewidth of 6.6 GHz. A maximum THz power of 8.5 μW with a power conversion efficiency of 10 μW/W² is obtained at room temperature. reprint |
240.
(2)(3)(4)(5)(6)(7)(8)(9)(10)(11)(12)(13)(14)(15)(16)(17)(18)(19)(20)(21)(22)(23)(24)(25)(26)(27)(28)(29)(30)(31)(32)(33)(34)(35)(36)(37)(38)(39)(40)(41)(42)(43)(44)(45)(46)(47)(48)(49)(50)(51)(52)(53)(54)(55)(56).png) | Deep ultraviolet (254 nm) focal plane array E. Cicek, Z. Vashaei, R. McClintock, and M. Razeghi SPIE Proceedings, Conference on Infrared Sensors, Devices and Applications; and Single Photon Imaging II, Vol. 8155, p. 81551O-1-- August 21, 2011 We report the synthesis, fabrication and testing of a 320 × 256 focal plane array (FPA) of back-illuminated, solarblind, p-i-n, AlxGa1-xN-based detectors, fully realized within our research laboratory. We implemented a novel pulsed atomic layer deposition technique for the metalorganic chemical vapor deposition (MOCVD) growth of crackfree, thick, and high Al composition AlxGa1-xN layers. Following the growth, the wafer was processed into a 320 × 256 array of 25 μm × 25 μm pixels on a 30 μm pixel-pitch and surrounding mini-arrays. A diagnostic mini-array was hybridized to a silicon fan-out chip to allow the study of electrical and optical characteristics of discrete pixels of the FPA. At a reverse bias of 1 V, an average photodetector exhibited a low dark current density of 1.12×10-8 A·cm-2. Solar-blind operation is observed throughout the array with peak detection occurring at wavelengths of 256 nm and lower and falling off three orders of magnitude by 285 nm. After indium bump deposition and dicing, the FPA is hybridized to a matching ISC 9809 readout integrated circuit (ROIC). By developing a novel masking technology, we significantly reduced the visible response of the ROIC and thus the need for external filtering to achieve solar- and visible-blind operation is eliminated. This allowed the FPA to achieve high external quantum efficiency (EQE): at 254 nm, average pixels showed unbiased peak responsivity of 75 mA/W, which corresponds to an EQE of ~37%. Finally, the uniformity of the FPA and imaging properties are investigated. reprint |
241.
(2)(3)(4)(5)(6)(7)(8)(9)(10)(11)(12)(13)(14)(15)(16)(17)(18)(19)(20)(21)(22)(23)(24)(25)(26)(27)(28)(29)(30)(31)(32)(33)(34)(35)(36)(37)(38)(39)(40)(41)(42)(43)(44)(45)(46)(47)(48)(49)(50)(51)(52)(53)(54)(55)(56)(57).png) | Effect of contact doping on superlattice-based minority carrier unipolar detectors B.M. Nguyen, G. Chen, A.M. Hoang, S. Abdollahi Pour, S. Bogdanov, and M. Razeghi Applied Physics Letters, Vol. 99, No. 3, p. 033501-1-- July 18, 2011 We report the influence of the contact doping profile on the performance of superlattice-based minority carrier unipolar devices for mid-wave infrared detection. Unlike in a photodiode, the space charge in the p-contact of a pMp unipolar device is formed with accumulated mobile carriers, resulting in higher dark current in the device with highly doped p-contact. By reducing the doping concentration in the contact layer, the dark current is decreased by one order of magnitude. At 150 K, 4.9 μm cut-off devices exhibit a dark current of 2 × 10−5A/cm² and a quantum efficiency of 44%. The resulting specific detectivity is 6.2 × 1011 cm·Hz1/2/W at 150 K and exceeds 1.9 × 1014 cm·Hz1/2/W at 77 K. reprint |
242.
(2)(3)(4)(5)(6)(7)(8)(9)(10)(11)(12)(13)(14)(15)(16)(17)(18)(19)(20)(21)(22)(23)(24)(25)(26)(27)(28)(29)(30)(31)(32)(33)(34)(35)(36)(37)(38)(39)(40)(41)(42)(43)(44)(45)(46)(47)(48)(49)(50)(51)(52)(53)(54)(55)(56)(57)(58).png) | Recent advances in IR semiconductor laser diodes and future trends M. Razeghi; Y. Bai; N. Bandyopadhyay; B. Gokden; Q.Y. Lu; S. Slivken Photonics Society Summer Topical Meeting Series, IEEE [6000041], pp. 55-56 (2011)-- July 18, 2011 The wall plug efficiency of the mid-infrared quantum cascade laser in room temperature continuous wave (cw) operation is brought to 21%, with a maximum output power of 5.1 W. Using a surface grating distributed feedback (DFB) approach, we demonstrated 2.4 W single mode output in room temperature cw operation. With a photonic crystal distributed feedback (PCDFB) design, we achieved single mode spectrum and close to diffraction limited far field with a room temperature high peak power of 34 W. reprint |
243.
(2)(3)(4)(5)(6)(7)(8)(9)(10)(11)(12)(13)(14)(15)(16)(17)(18)(19)(20)(21)(22)(23)(24)(25)(26)(27)(28)(29)(30)(31)(32)(33)(34)(35)(36)(37)(38)(39)(40)(41)(42)(43)(44)(45)(46)(47)(48)(49)(50)(51)(52)(53)(54)(55)(56)(57)(58)(59)(60).png) | Type-II superlattice dual-band LWIR imager with M-barrier and Fabry-Perot resonance E.K. Huang, A. Haddadi, G. Chen, B.M. Nguyen, M.A. Hoang, R. McClintock, M. Stegall, and M. Razeghi OSA Optics Letters, Vol. 36, No. 13, p. 2560-2562-- July 1, 2011 We report a high performance long-wavelength IR dual-band imager based on type-II superlattices with 100% cutoff wavelengths at 9.5 μm (blue channel) and 13 μm (red channel). Test pixels reveal background-limited behavior with specific detectivities as high as ∼5×1011 Jones at 7.9 μm in the blue channel and ∼1×1011 Jones at 10.2 μm in the red channel at 77 K. These performances were attributed to low dark currents thanks to the M-barrier and Fabry–Perot enhanced quantum efficiencies despite using thin 2 μm absorbing regions. In the imager, the high signal-to-noise ratio contributed to median noise equivalent temperature differences of ∼20 mK for both channels with integration times on the order of 0.5 ms, making it suitable for high speed applications. reprint |
244.
(2)(3)(4)(5)(6)(7)(8)(9)(10)(11)(12)(13)(14)(15)(16)(17)(18)(19)(20)(21)(22)(23)(24)(25)(26)(27)(28)(29)(30)(31)(32)(33)(34)(35)(36)(37)(38)(39)(40)(41)(42)(43)(44)(45)(46)(47)(48)(49)(50)(51)(52)(53)(54)(55)(56)(57)(58)(59)(60)(61).png) | Type-II InAs/GaSb photodiodes and focal plane arrays aimed at high operating temperatures M. Razeghi, S. Abdollahi Pour, E.K. Huang, G. Chen, A. Haddadi, and B.M. Nguyen Opto-Electronics Review (OER), Vol. 19, No. 3, June 2011, p. 46-54-- June 1, 2011 Recent efforts to improve the performance of type-II InAs/GaSb superlattice photodiodes and focal plane arrays (FPA) have been reviewed. The theoretical bandstructure models have been discussed first. A review of recent developments in growth and characterization techniques is given. The efforts to improve the performance of MWIR photodiodes and focal plane arrays (FPAs) have been reviewed and the latest results have been reported. It is shown that these improvements has resulted in
background limited performance (BLIP) of single element photodiodes up to 180 K. FPA shows a constant noise equivalent temperature difference (NEDT) of 11 mK up to 120 K and it shows human body imaging up to 170 K. reprint |
245.
(2)(3)(4)(5)(6)(7)(8)(9)(10)(11)(12)(13)(14)(15)(16)(17)(18)(19)(20)(21)(22)(23)(24)(25)(26)(27)(28)(29)(30)(31)(32)(33)(34)(35)(36)(37)(38)(39)(40)(41)(42)(43)(44)(45)(46)(47)(48)(49)(50)(51)(52)(53)(54)(55)(56)(57)(58)(59)(60)(61)(62).png) | Widely Tunable, Single-Mode, High-Power Quantum Cascade Lasers M. Razeghi, B. Gokden, S. Tsao, A. Haddadi, N. Bandyopadhyay, and S. Slivken SPIE Proceedings, Intergreated Photonics: Materials, Devices and Applications, SPIE Microtechnologies Symposium, Prague, Czech Republic, April 18-20, 2011, Vol. 8069, p. 806905-1-- May 31, 2011 We demonstrate widely tunable high power distributed feedback quantum cascade laser array chips that span 190 nm and 200 nm from 4.4 um to 4.59 um and 4.5 um to 4.7 um respectively. The lasers emit single mode with a very narrow
linewidth and side mode suppression ratio of 25 dB. Under pulsed operation power outputs up to 1.85 W was obtained from arrays with 3 mm cavity length and up to 0.95 W from arrays with 2 mm cavity length at room temperature. Continuous wave operation was also observed from both chips with 2 mm and 3 mm long cavity arrays up to 150 mW.
The cleaved size of the array chip with 3 mm long cavities was around 4 mm x 5 mm and does not require sensitive external optical components to achieve wide tunability. With their small size and high portability, monolithically integrated DFB QCL Arrays are prominent candidates of widely tunable, compact, efficient and high power sources of mid-infrared radiation for gas sensing. reprint |
246.
(2)(3)(4)(5)(6)(7)(8)(9)(10)(11)(12)(13)(14)(15)(16)(17)(18)(19)(20)(21)(22)(23)(24)(25)(26)(27)(28)(29)(30)(31)(32)(33)(34)(35)(36)(37)(38)(39)(40)(41)(42)(43)(44)(45)(46)(47)(48)(49)(50)(51)(52)(53)(54)(55)(56)(57)(58)(59)(60)(61)(62)(63).png) | Toward realizing high power semiconductor terahertz laser sources at room temperature Manijeh Razeghi Proc. SPIE 8023, Terahertz Physics, Devices, and Systems V: Advance Applications in Industry and Defense, 802302 (May 25, 2011)-- May 25, 2011 The terahertz (THz) spectral range offers promising applications in science, industry, and military. THz penetration through nonconductors (fabrics, wood, plastic) enables a more efficient way of performing security checks (for example at airports), as illegal drugs and explosives could be detected. Being a non-ionizing radiation, THz radiation is environment-friendly enabling a safer analysis environment than conventional X-ray based techniques. However, the lack of a compact room temperature THz laser source greatly hinders mass deployment of THz systems in security check points and medical centers. In the past decade, tremendous development has been made in GaAs/AlGaAs based THz Quantum Cascade Laser (QCLs), with maximum operating temperatures close to 200 K (without magnetic field). However, higher temperature operation is severely limited by a small LO-phonon energy (∼ 36 meV) in this material system. With a much larger LO-phonon energy of ∼ 90 meV, III-Nitrides are promising candidates for room temperature THz lasers. However, realizing high quality material for GaN-based intersubband devices presents a significant challenge. Advances with this approach will be presented. Alternatively, recent demonstration of InP based mid-infrared QCLs with extremely high peak power of 120 W at room temperature opens up the possibility of producing high power THz emission with difference frequency generation through two mid-infrared wavelengths. reprint |
247.
(2)(3)(4)(5)(6)(7)(8)(9)(10)(11)(12)(13).png) | Growth and Characterization of Long-Wavelength Infrared Type-II Superlattice Photodiodes on a 3-in GaSb Wafer B.M. Nguyen, G. Chen, M.A. Hoang, and M. Razeghi IEEE Journal of Quantum Electronics (JQE), Vol. 47, No. 5, May 2011, p. 686-690-- May 11, 2011 We report the molecular beam epitaxial growth and characterization of high performance Type-II superlattice photodiodes on 3” GaSb substrates for long wavelength infrared detection. A 7.3 micron thick device structure shows excellent structural homogeneity via atomic force microscopy and x-ray diffraction characterization. Optical and electrical measurements of photodiodes reveal not only the uniformity of the Type-II superlattice material but also of the fabrication process. Across the wafer, at 77 K, photodiodes with a 50% cut-off wavelength of 11 micron exhibit more than 45% quantum efficiency, and a dark current density of 1.0 x 10-4 A/cm² at 50 mV, resulting in a specific detectivity of 6x1011 cm·Hz1/2/W. reprint |
248.
(2)(3)(4)(5)(6)(7)(8)(9)(10)(11)(12)(13)(14).png) | 2.4 W room temperature continuous wave operation of distributed feedback quantum cascade lasers Q.Y. Lu, Y. Bai, N. Bandyopadhyay, S. Slivken and M. Razeghi Applied Physics Letters, Vol. 98, No. 18, p. 181106-1-- May 4, 2011 We demonstrate high power continuous-wave room-temperature operation surface-grating distributed feedback quantum cascade lasers at 4.8 μm. High power single mode operation benefits from a combination of high-reflection and antireflection coatings. Maximum single-facet continuous-wave output power of 2.4 W and peak wall plug efficiency of 10% from one facet is obtained at 298 K. Single mode operation with a side mode suppression ratio of 30 dB and single-lobed far field without beam steering is observed. reprint |
249.
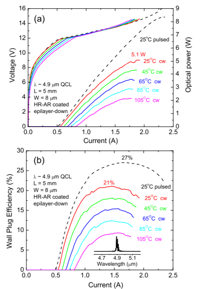
(2)(3)(4)(5)(6)(7)(8)(9)(10)(11)(12)(13)(14)(15).png) | Room temperature quantum cascade lasers with 27% wall plug efficiency Y. Bai, N. Bandyopadhyay, S. Tsao, S. Slivken and M. Razeghi Applied Physics Letters, Vol. 98, No. 18, p. 181102-1-- May 3, 2011 Using the recently proposed shallow-well design, we demonstrate InP based quantum cascade lasers (QCLs) emitting around 4.9 μm with 27% and 21% wall plug efficiencies in room temperature (298 K) pulsed and continuous wave (CW) operations, respectively. The laser core consists of 40 QCL-stages. The highest cw efficiency is obtained from a buried-ridge device with a ridge width of 8 μm and a cavity length of 5 mm. The front and back facets are antireflection and high-reflection coated, respectively. The maximum single facet cw power at room temperature amounts to 5.1 W. reprint |
250.
(2)(3)(4)(5)(6)(7)(8)(9)(10)(11)(12)(13)(14)(15)(16).png) | Surface leakage current reduction in long wavelength infrared type-II InAs/GaSb superlattice photodiodes S. Bogdanov, B.M. Nguyen, A.M. Hoang, and M. Razeghi Applied Physics Letters, Vol. 98, No. 18, p. 183501-1-- May 2, 2011 Dielectric passivation of long wavelength infrared Type-II InAs/GaSb superlattice photodetectors with different active region doping profiles has been studied. SiO2 passivation was shown to be efficient as long as it was not put in direct contact with the highly doped superlattice. A hybrid graded doping profile combined with the shallow etch technique reduced the surface leakage current in SiO2 passivated devices by up to two orders of magnitude compared to the usual design. As a result, at 77 K the SiO(2) passivated devices with 10.5 μm cutoff wavelength exhibit an R0A of 120 Ω·cm², RmaxA of 6000 Ω·cm², and a dark current level of 3.5×10−5 A·cm−2 at −50 mV bias. reprint |
Page 10 of 35: Prev << 1 2 3 4 5 6 7 8 9 10 11 12 13 14 15 16 17 18 19 20 21 22 23 24 25 26 27 28 29 30 31 32 33 34 35 >> Next (852 Items)
|